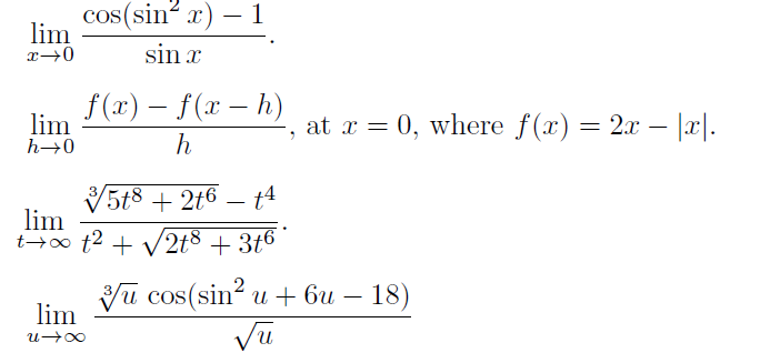
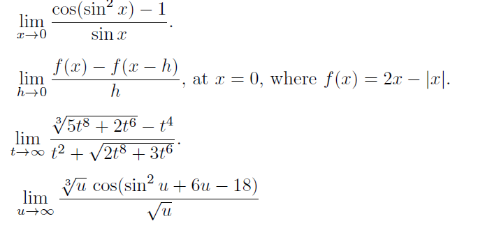
Question: Evaluate all the questions without using L' Hospitals rule: 1. lim lim cos(sin x) sin x 1 at x 0, where f (x) - 18)





Evaluate all the questions without using L' Hospitals rule:
1.





lim lim cos(sin x) sin x 1 at x 0, where f (x) - 18) l:rl. 3 5t8 + '2t6 lim lim t2+ '2t8 + 3t6 eGi cos(sin u + (ju
Step by Step Solution
There are 3 Steps involved in it
Get step-by-step solutions from verified subject matter experts
