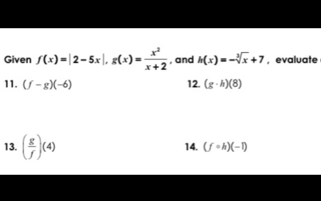
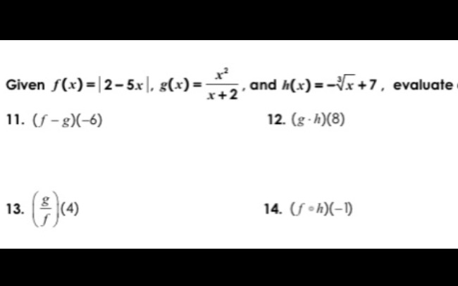
Question: Evaluate each please Given f(x) 2 11. (f-g)(-6) 13. and h(x) + 7 . evaluate 5xl. g(x) 12.

Evaluate each please

Given f(x) 2 11. (f-g)(-6) 13. and h(x) + 7 . evaluate 5xl. g(x) 12.
Step by Step Solution
There are 3 Steps involved in it
Get step-by-step solutions from verified subject matter experts
