Question: Evaluate the definite integral. 56 512 - 3 dz 56 512 - 3 dz = 7 Vz (Type an integer or decimal rounded to two










![. (a) Find the integral over the interval [0,9]. (Round to the](https://dsd5zvtm8ll6.cloudfront.net/si.experts.images/questions/2024/10/6703ef1ab3565_0666703ef1a8938a.jpg)




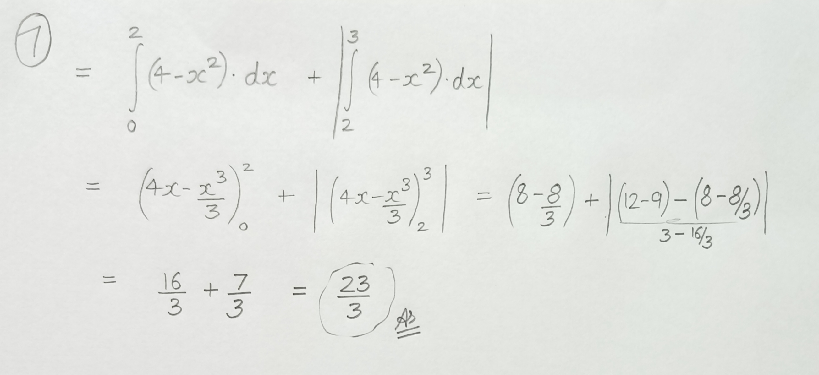
Evaluate the definite integral. 56 512 - 3 dz 56 512 - 3 dz = 7 Vz (Type an integer or decimal rounded to two decimal places as needeEvaluate the definite integral. O y ( 7y 2 + 9 ) 3 dy - 1 0 y (7y2 +9) dy= (Simplify your answer. Type an exact answer.) -Points: 0 of 1 The 2010 census in a particular area gives us an age distribution that is approximately given (in millions) by the function f(x) = 39.2 + 2.16x - 0.804x2 where x varies from 0 to 9 decades. The population of a given age group can be found by integrating this function over the interval for that age group. . . . (a) Find the integral over the interval [0,9]. (Round to the nearest integer as needed.)A small company of science writers found that its rate of profit (in thousands of dollars) after t years of operation is given by P'(t) = (5t+ 10) (2 + 4t+7) (a) Find the total profit in the first five years. (b) Find the profit in the sixth year of operation. (c) What is happening to the annual profit over the long run? . . . (a) The total profit in the first five years is $ (Round to the nearest dollar as needed.)Find the area of the shaded region. Ay The total area of the shaded regions is 4- y=4-x2 (Simplify your answer.) X - 2 2 4 -4-Evaluate the definite integral. 16 (20 y Vy + 9Vy) dy 9 16 (20 y Vy + 9vy) dy= (Simplify your answer.) 9Use the definite integral to find the area between the x-axis and f(x) over the indicated interval. Check first to see if the graph crosses the x-axis in the given interval. 5 5 f(X) = ~ [1, e 3 ] . . . Set up the integral (or integrals) needed to compute this area. Use the smallest possible number of integrals. Select the correct choice below and fill in the answer bo to complete your choice. (Type exact answers in terms of e.) O A. dx O B. 3 dx + dx O C. 3 dx + dxEvaluate the definite integral. 5u du 4 ( u + 2)2 5 50 1 e du 4 ( u + 2)2 (Type an exact answer in terms of e.)In an example from an earlier chapter, the velocity v of the blood in a blood vessel was given as v = k (R -r") where R is the (constant) radius of the blood vessel, r is R the distance of the flowing blood from the center of the vessel, and k is constant. Total blood flow (in millimeters per minute) is given by Q(R) = | 2xvrdr. (a) Find the general form of Q in terms of R by evaluating the definite integral given above. (b) Evaluate Q(0.42). (a) Write the definite integral obtained by substituting the formula for the velocity into the formula for total blood flow. R Q (R) = (dr 0Use the definite integral to find the area between the x-axis and f(x) over the indicated interval. Check first to see if the graph crosses the x-axis in the given interval. f( x) = 12 - 3x-; [0, 7] . . . to complete your choice. Set up the integral (or integrals) needed to compute this area. Use the smallest possible number of integrals. Select the correct choice below and fill in the answer boxes O A. 7 dx| + dx O B. 7 dx + dx 0 O C. dx OK The rate at which a substance grows is given by R'(x) = 110e .5x, where x is the time (in days). What is the total accumulated growth during the first 1,5 days? Set up the definite integral that determines the accumulated growth during the first 1.5 days. Growth = - ()dx 0 (Type exact answers in terms of e.)An oil tanker is leaking oil at a rate given in barrels per hour by the function shown below, where t is the time in hours after the tanker hits a hidden rock (when t = 0). Complete parts (a) through (c). 68 In (t + 1) L'(t) = t+ 1 . . . (a) Find the total number of barrels that the ship will leak on the first day. (Round to the nearest whole number as needed.)Evaluate the definite integral. 3 8(In x) 3 dx X W 8 (In x) 3 dx = X (Round to three decimal places as needed.)K Suppose that the rate of consumption of a natural resource is c' (t), where c' (t) = ke". Here t is time in years, r is a constant, and k is the consumption in the year when t=0. In 2020, an oil company sold 1.7 billion barrels of oil. Assume that r = 0.02. Complete parts (a) through (e) below. . . . (a) Write c' (t) for the oil company, letting t = 0 represent 2020. c'(t) =2 3 = (4- 20 ). xc + (4 - c ).doc O 2 3 2 13 3 = 4 0 - X + 3 4 x - = 18 - 8 + (12 - 9 ) - (8 - 8 / 3 ) 3 2 3 - 16 /3 = 16 + 7 = 23 3 3 3
Step by Step Solution
There are 3 Steps involved in it
Get step-by-step solutions from verified subject matter experts
