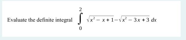
Question: Evaluate the definite integral Vx? - x + 1-Vx 3x + 3 dx

Evaluate the definite integral Vx? - x + 1-Vx 3x + 3 dx
Step by Step Solution
There are 3 Steps involved in it
Solution Evoluate 2 ... View full answer
Get step-by-step solutions from verified subject matter experts
