Question: EVALUATE THE FF DEFINITE INTEGRALS SHOW A COMPLETE AND DETAILED SOLUTION; IF AN INTEGRATION FORMULA IS USED FROM A TABLE OF INTEGRATION FORMULAS, SHOW DERIVATION






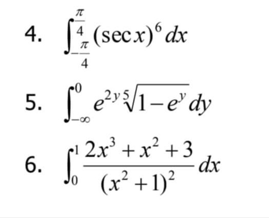
EVALUATE THE FF DEFINITE INTEGRALS SHOW A COMPLETE AND DETAILED SOLUTION; IF AN INTEGRATION FORMULA IS USED FROM A TABLE OF INTEGRATION FORMULAS, SHOW DERIVATION FIRST. ANSWERS MUST NOT BE IN DECIMAL FORM.EVALUATE THE FF DEFINITE INTEGRALS SHOW A COMPLETE AND DETAILED SOLUTION; IF AN INTEGRATION FORMULA IS USED FROM A TABLE OF INTEGRATION FORMULAS, SHOW DERIVATION FIRST. ANSWERS MUST NOT BE IN DECIMAL FORM.4. 4 secx) dx 4 0 5. e 218/ 1 -e dy -oo 2x + x2+ 3 6. dx Jo (x 2 + 1) 2
Step by Step Solution
There are 3 Steps involved in it
Get step-by-step solutions from verified subject matter experts
