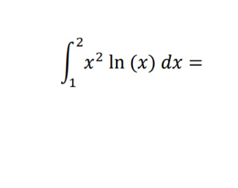
Question: Evaluate the following definite integrals. Clearly state { = = , = , = }, when appropriate f
Evaluate the following definite integrals. Clearly state { = = , = , = }, when appropriate

\f
Step by Step Solution
There are 3 Steps involved in it
Get step-by-step solutions from verified subject matter experts
