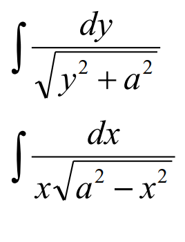
Question: Evaluate the following indefinite integrals. Please show a detailed solution. dy dx

Evaluate the following indefinite integrals. Please show a detailed solution.

dy dx
Step by Step Solution
There are 3 Steps involved in it
Get step-by-step solutions from verified subject matter experts
