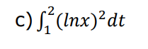
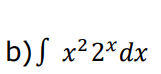
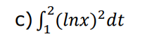
Question: Evaluate the indefinite or definite integral It/2 a) So 3+3 sin(t2) dtfc ) S Inx 2 dtd) S(4t + 2 )eth +t dt


Evaluate the indefinite or definite integral




It/2 a) So 3+3 sin(t2) dt\fc ) S Inx 2 dtd) S(4t + 2 )eth +t dt
Step by Step Solution
There are 3 Steps involved in it
Get step-by-step solutions from verified subject matter experts
