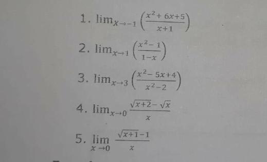
Question: x+ 6x+5 1. limx-1 x+1 2. lim-1 1-x (x-5x+4) 3. limx-3 x2-2 Vx+2- Vx 4. limx-0 x+1-1 5. lim

x+ 6x+5 1. limx-1 x+1 2. lim-1 1-x (x-5x+4) 3. limx-3 x2-2 Vx+2- Vx 4. limx-0 x+1-1 5. lim
Step by Step Solution
There are 3 Steps involved in it
Get step-by-step solutions from verified subject matter experts
