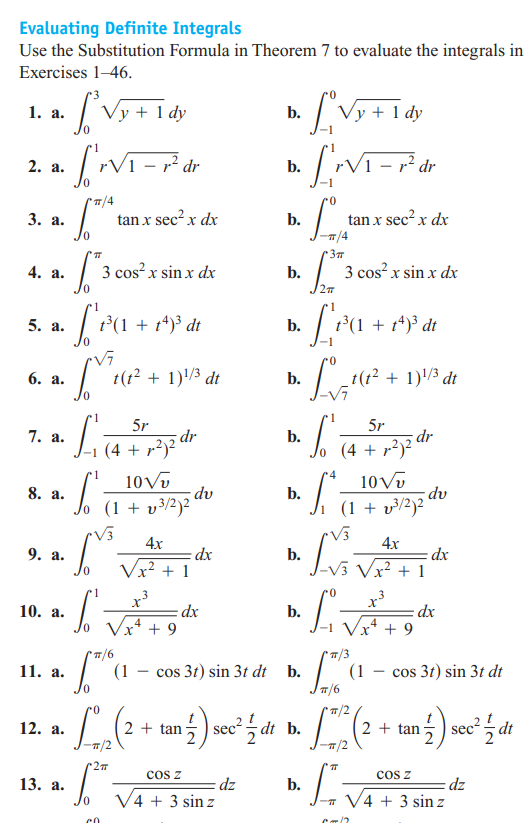
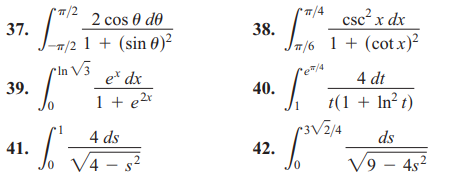
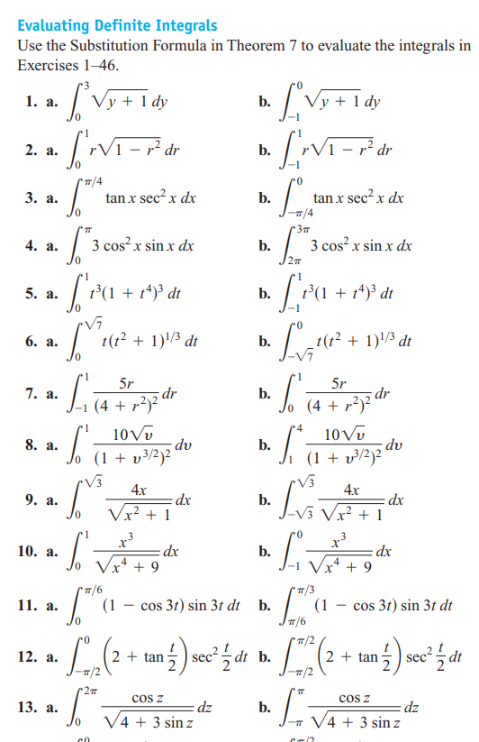
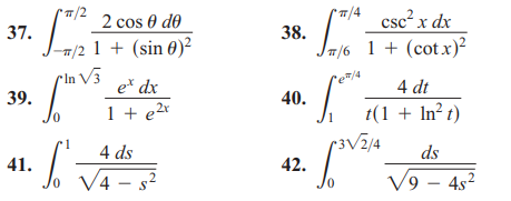
Question: Evaluating Definite Integrals Use the Substitution Formula in Theorem 7 to evaluate the integrals in Exercises 1-46. 1. a. b. y + 1 dy 2.




Evaluating Definite Integrals Use the Substitution Formula in Theorem 7 to evaluate the integrals in Exercises 1-46. 1. a. b. y + 1 dy 2. a. T/4 3. a. tan x sec- x dx b. tan x sec- x dx 4. a. 3 cos x sin x dx b. 3 cos- x sin x dx To J 2T 5. a. 2 ( 1 + A) at b. [ 2 (1 + Ap dt 6. a. 1 (12 + 1) 1/3 dt b. 1 ( 12 + 1 ) 1/3 dt 5r 5r 7. a. (4 + 12)2 dr b. (4 + 12)2 dr 10VU 10VU 8. a. du (1 + 23/2)2 b. J. (1 + 13/2)2 du /3 V3 4x 4x 9. a. dx b. dx x- + 1 V3 Vx2 + 1 X 10. a. dx dx Vx*+9 b. L. + 9 TT/6 11. a. (1 - cos 3t) sin 3t dt b. (1 - cos 3t) sin 3t dt TT /6 12. a. (2 + tan ) sec { de b. (2 + tanz) sec? _ di COS Z COS Z 13. a. dz dz V4 + 3 sinz b. J V4 + 3 sin z
Step by Step Solution
There are 3 Steps involved in it
Get step-by-step solutions from verified subject matter experts
