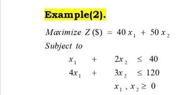
Question: Example(2). Maximize Z (S) = 40 x + 50x2 Subject to x1 + 2x 2 40 4x1 + 3x2 120 xx20
Example(2). Maximize Z (S) = 40 x + 50x2 Subject to x1 + 2x 2 40 4x1 + 3x2 120 xx20
Step by Step Solution
There are 3 Steps involved in it
Get step-by-step solutions from verified subject matter experts
