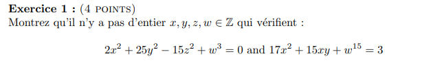
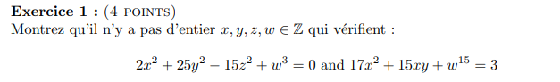
Question: Exercice 1 : (4 POINTS) Montrez qu'il n'y a pas d'entier r, y, z, w E Z qui verifient : 2x2 + 25y? - 1523


Exercice 1 : (4 POINTS) Montrez qu'il n'y a pas d'entier r, y, z, w E Z qui verifient : 2x2 + 25y? - 1523 + w =0 and 17x' + 15ry + w =3
Step by Step Solution
There are 3 Steps involved in it
1 Expert Approved Answer
Step: 1 Unlock
Question Has Been Solved by an Expert!
Get step-by-step solutions from verified subject matter experts
Step: 2 Unlock
Step: 3 Unlock
