Question: Exercise 1. Read the subsection Line Integrals with Respect to dx, dy, and dz (p. 979 - 980). Explain what the differentials dx, dy, and




Exercise 1. Read the subsection "Line Integrals with Respect to dx, dy, and dz" (p. 979 - 980). Explain what the differentials dx, dy, and dz are substituted with to convert the line integral into a single-variable integral.




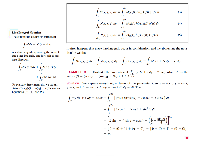
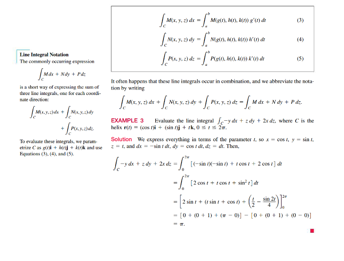
16.2 Vector Fields and Line Integrals: Work, Circulation, and Flux 979 DEFINITION Let F be a vector field with continuous components defined along a smooth curve ( parametrization the line integral of F along C is B. Tas = [(F . 45 ) as = JR. dx. (1) We evaluate line integrals of vector fields in a way similar to how we evaluate line integrals of scalar functions (Section 16.1). Evaluating the Line Integral of F = Mi + Nj + PK Along Car(n) = g(1)i + h(0j + k(ojk 1. Express the vector field F along the parametrizationsti- tuting the components x = g(1), y = h(!), z = K(t) of r into the scalar compo- nents M(x, y, Z), N(x, y, D). P(x, y, =) of F. 2. Find the derivative (velocity) vector dr/di. 3. Evaluate the line integral with respect to the parameter t, a S t s b, to obtain F . dr = Firm . dr dt (2) cEXAMPLE 2 Evaluate (F. dr, where F(x. y. z) = zi + xyj - y'k along the curve ( given by r() = pi + j + Vik, 0 = = = 1 and shown in Figure 16.18. Solution We have From) - Vri + j - rk ? = Vixy = P,-yl =- and 4 = 21+ j+ K. 2Vt FIGURE 16.18 The curve (in red) winds Thus, through the vector field in Example 2. The line integral is determined by the vectors F . ar - From - or d Bq. (2) that lie along the curve. - [(3) (3 173) + 4x] - 4 Line Integrals with Respect to dx, dy, or dz When analyzing forces or flows, it is often useful to consider each component direction separately. For example, when analyzing the effect of a gravitational force, we might want to consider motion and forces in the vertical direction, while ignoring horizontal motions. Or we might be interested only in the force exerted horizontally by water pushing against980 Chapter 16 Integrals and Vector Fields the face of a dam or in wind affecting the course of a plane. In such situations we want to evaluate a line integral of a scalar function with respect to only one of the coordinates, such as Max. This type of integral is not the same as the are length line integral M as we defined in Section 16.1, since it picks out displacement in the direction of only one coordinate. To define the integral /M dx for the scalar function M(x, y, z), we specify a vector field F = M(x, y. z)i having a component only in the x-direction, and none in the y- or z-direction. Then, over the curve C parametriz r() - g(ni + h(nj + K(ijk for a s I s b, we have a = g(), dx = g'(1) dr, and dt F. dr = F.Old = Mox zai . (g'(gi + hoj + K(k)di = M(x, y, 2)g' (1) di = M(x, y, z) dx. As in the definition of the line integral of F along C, we define M(x, y, 2) dx = / F.dr, where F = M(x, y, q)i. In the same way, by defining F = Mr. y, z)j with a component only in the y-direction, or F = P(x. y. z)k with a component only in the z-direction, we obtain the line integrals Je N dy and J- Paz, Expressing everything in terms of the parameter / along the curve C, we have the following formulas for these three integrals;(3) (4) Line Integral Notation The commonly occurring expression (5) Max + Ndy + Pdz It often happens that these line integrals occur in combination, and we abbreviate the nota- is a short way of expressing the sum of tion by writing three line integrals, one for each coordi- nate direction: Menad + Murad+ PryEd = / Max + Ndy + Pd. EXAMPLE 3 Evaluate the line integral J-ydx + z dy + 2xdz, where C is the helix r(f) = (cost)i + (sin nj + th. 0 = / = 24. To evaluate these integrals, we purum- Solution We express everything in terms of the parameter , so x = cost, y = sin , etrize Cas gloji + h(nj + k(jk and use z = 1, and dx = - sin i di, dy = cos i di. da = di. Then. Equations (3), (4), and (5). -yedx + zdy + 2ndz = / [(-sinn)(-sing) + rcost + 2 cost] di [2 cost + tcost + sin' ; ] dt = 2 sint + (t sint + cost) + ({ - sin 2) 25 =[0+(0+ 1)+ (" - 0)] - [0+(0+1)+(0-0)] = T
Step by Step Solution
There are 3 Steps involved in it
Get step-by-step solutions from verified subject matter experts
