Question: Exercise 2 Suppose there are N countries. In this exercise we extend the Krugman (1980) model to N countries, derive a gravity equation, and solve




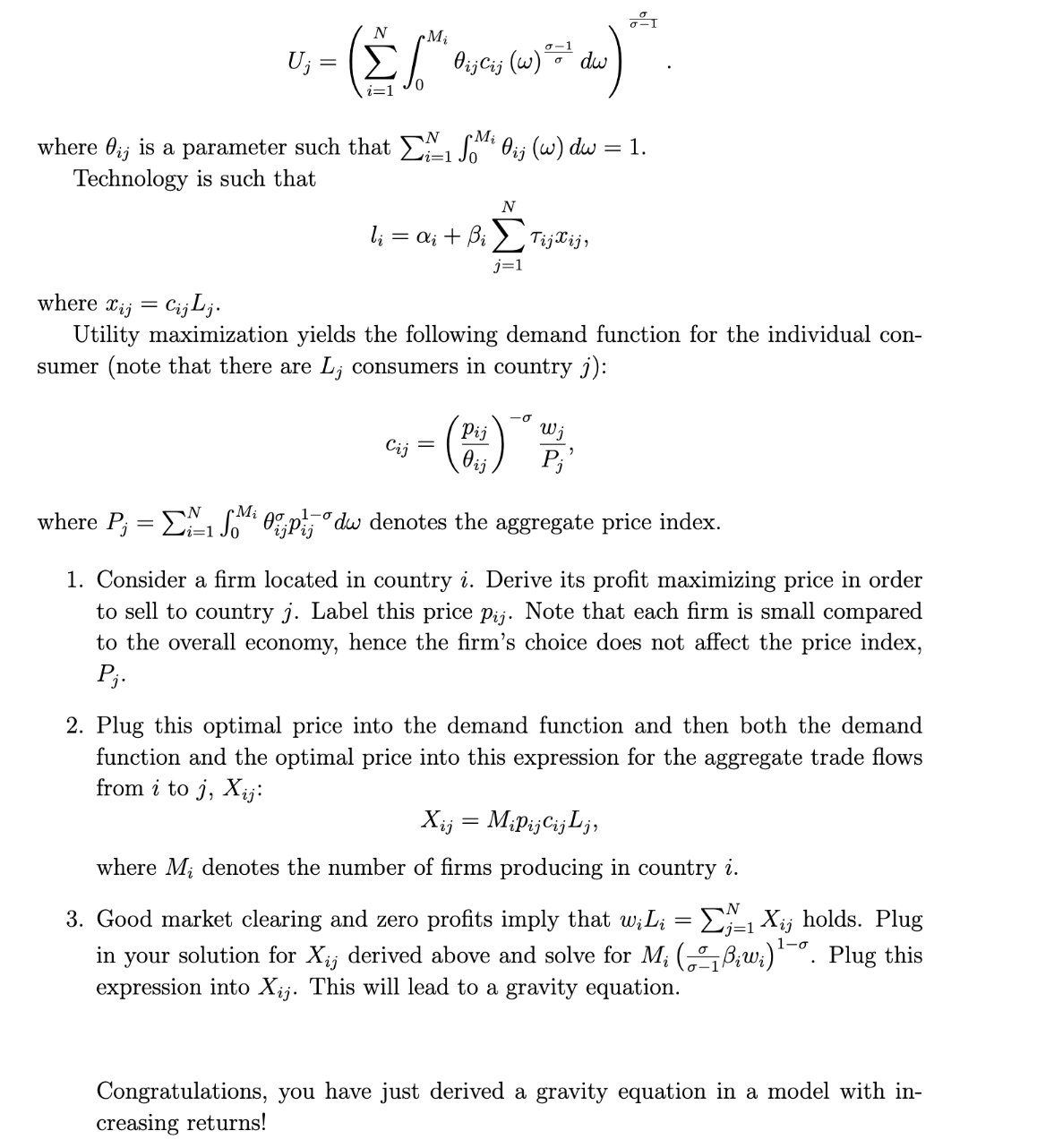
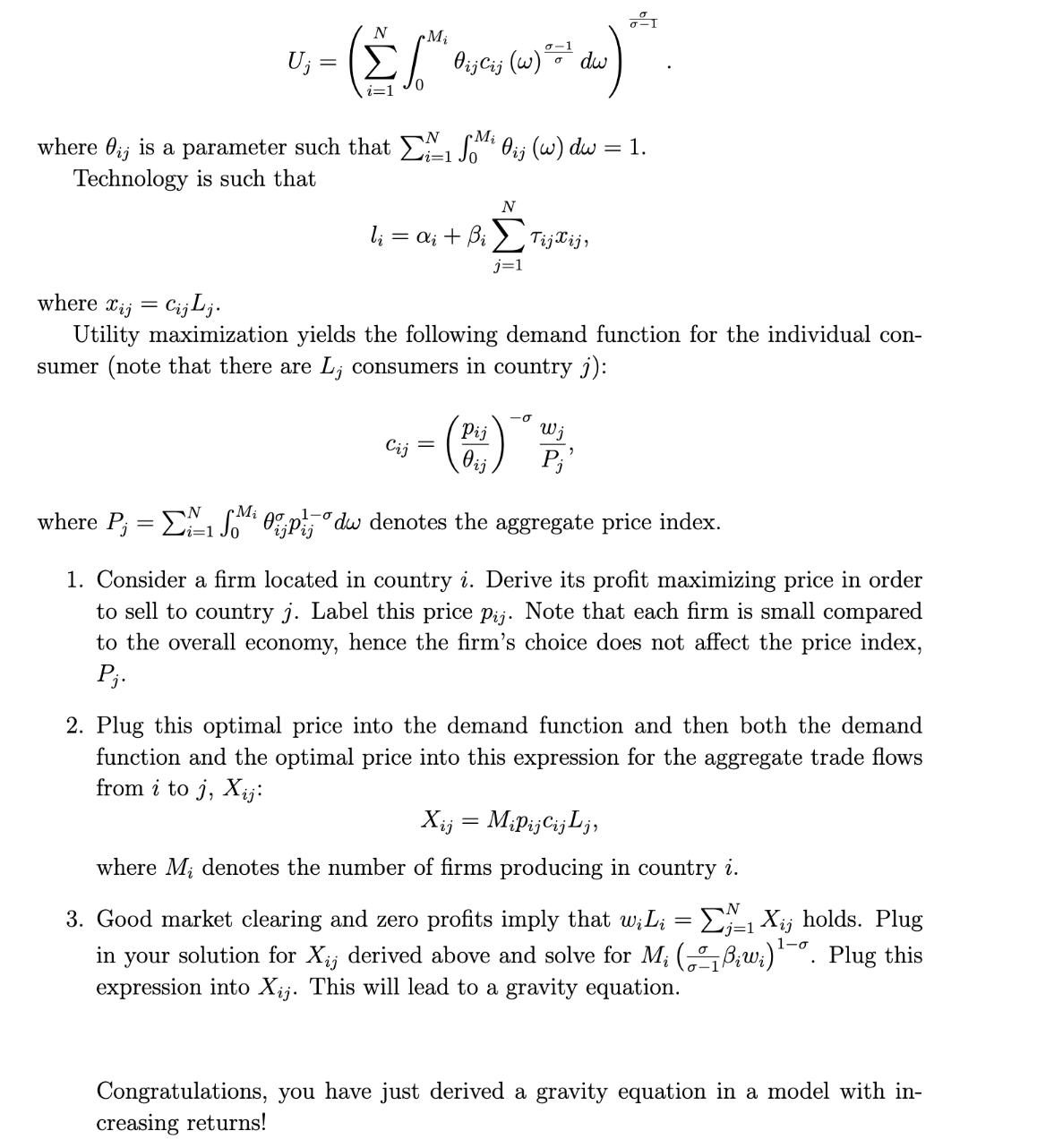
Exercise 2 Suppose there are N countries. In this exercise we extend the Krugman (1980) model to N countries, derive a gravity equation, and solve for the number of products produced in equilibrium. There are iceberg trade costs 7;; in order to ship from country to country j (i.e. one needs to ship 7;; > 1 units of the good from to j in order for one unit to arrive in j). Preferences are given by o o1 N M; i U = (Z/; Oijcij (W) = dw) =1 where 6, is a parameter such that S [M 0, (w) dw = 1. i=1Jo Technology is such that N li=ai+ B Z TijTij j=1 where z;; = ;;L;. Utility maximization yields the following demand function for the individual con- sumer (note that there are L; consumers in country j): (P W where P; = Ei\\;] fo : B%pij_"dw denotes the aggregate price index. 1. Consider a firm located in country 7. Derive its profit maximizing price in order to sell to country j. Label this price p;;. Note that each firm is small compared to the overall economy, hence the firm's choice does not affect the price index, P J 2. Plug this optimal price into the demand function and then both the demand function and the optimal price into this expression for the aggregate trade flows from 7 to j, Xi;: Xij = Mipijci; Lj, where M; denotes the number of firms producing in country q. 3. Good market clearing and zero profits imply that w;L; = Ejv:l Xi; holds. Plug in your solution for X;; derived above and solve for M; ( iwi)l_d. Plug this expression into X;;. This will lead to a gravity equation. Congratulations, you have just derived a gravity equation in a model with in- creasing returns
Step by Step Solution
There are 3 Steps involved in it
Get step-by-step solutions from verified subject matter experts
