Question: Exercise 3.8 asked you to write a method called quadratic that solves quadratic equations and prints their roots. Recall that a quadratic equation is a
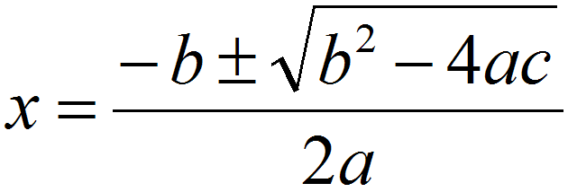
Exercise 3.8 asked you to write a method called quadratic that solves quadratic equations and prints their roots. Recall that a quadratic equation is a polynomial equation in terms of a variable x of the form a x2 + b x + c = 0. The formula for solving a quadratic equation is:

Here are some example equations and their roots:
| equation | x2 - 7x + 12 | x2 + 3x + 2 |
|---|---|---|
| call | quadratic(1, -7, 12); | quadratic(1, 3, 2); |
| output | First root = 4.0 Second root = 3.0 | First root = -1.0 Second root = -2.0 |
But for some values of a, b, and c, the formula does not find any valid roots. Under what conditions would this formula fail? Modify the quadratic method so that it will reject invalid values of a, b, or c by throwing an IllegalArgumentException. (You may want to go back and complete the exercise in the previous chapter first.)
-b+b? - 4ac X = 2a
Step by Step Solution
There are 3 Steps involved in it
Get step-by-step solutions from verified subject matter experts
