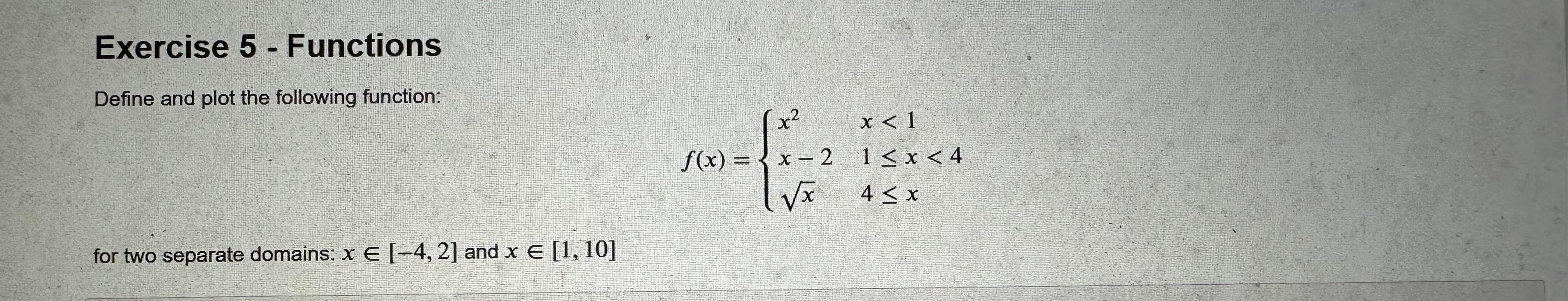
Question: Exercise 5 - Functions Define and plot the following function: f(x)=x2x2xx

Exercise 5 - Functions Define and plot the following function: f(x)=x2x2xx
Step by Step Solution
There are 3 Steps involved in it
1 Expert Approved Answer
Step: 1 Unlock
Question Has Been Solved by an Expert!
Get step-by-step solutions from verified subject matter experts
Step: 2 Unlock
Step: 3 Unlock
