Question: Exercise C-2 Calculate the future value of a single amount (LOC-2) You want to save for retirement. Assuming you are now 20 years old and





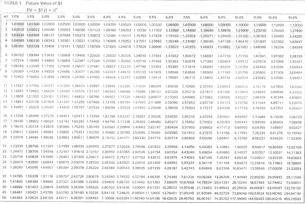
Exercise C-2 Calculate the future value of a single amount (LOC-2) You want to save for retirement. Assuming you are now 20 years old and you want to retire at age 60, you have 40 years to watch your investment grow. You decide to invest in the stock market, which has earned about 12% per year over the past 80 years and is expected to continue at this rate. You decide to invest $1,000 today. Required How much do you expect to have in 40 years? (FV of $1, PV of $1, FVA of $1, and PVA of $1) (Use appropriate factor(s) from the tables provided. Round your answer to 2 decimal places.) Future value
Step by Step Solution
There are 3 Steps involved in it
Get step-by-step solutions from verified subject matter experts
