Question: Exercise E Find the limits of the following functions. sin x 1. lim sin x 2. lim X-0 X X-o sin 4x tan 4x 3.








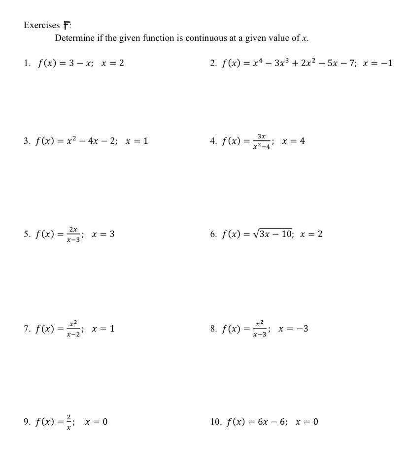
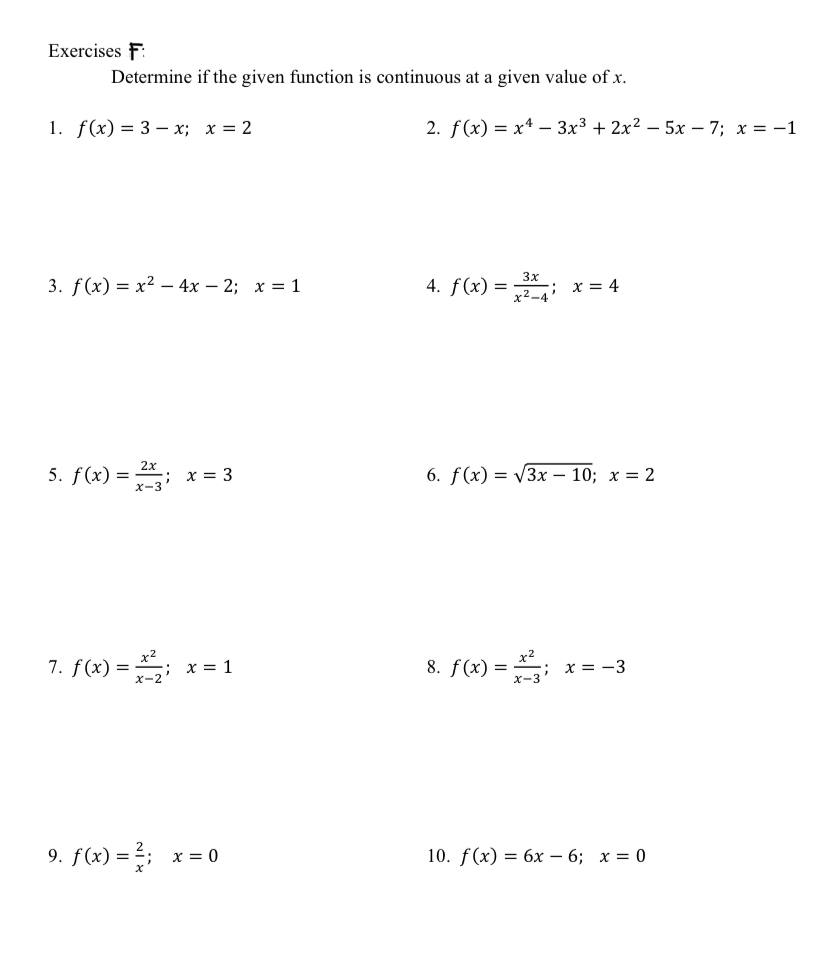
Exercise E Find the limits of the following functions. sin x 1. lim sin x 2. lim X-0 X X-o sin 4x tan 4x 3. lim 4. lim e 5x X-+2 csc 2x X -+2 5. lim (0 tan 0) 0-0 6. lim cos x 1-sin x 7. lim (1 + 4) (log x) 8. lim 3x X-+00 X-0 sing X 9. lim 10. lim In x X-+ +00 x-++00 V2Exercises F: Determine if the given function is continuous at a given value of x. 1. f (x) = 3 -x; x =2 2. f (x) = x4 - 3x3 + 2x2 -5x -7; x=-1 3. f(x) = x2 - 4x -2; x =1 4. f (x) = 21 X=4 3x 5. f(x) = 2x. X-3' -; x= 3 6. f (x) = 3x - 10; x =2 7. f (x ) =-; x=1 8. f (x) = -; x=-3 x 2 9. f ( x ) = =; x=0 10. f (x) = 6x - 6; x = 0Exercise G Find the intervals on which each function is continuous. 1. f ( x ) = (x + 2x + 1, x 2 N b. f ( x )= 1-x if x 3
Step by Step Solution
There are 3 Steps involved in it
Get step-by-step solutions from verified subject matter experts
