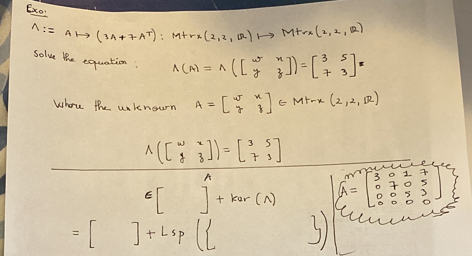
Question: Exo' A : = AH ( 3A+ 7 AT) : Mtrx (2, 2, IR) I Mtrx (2, 2, 122) solve the equation : n 3

Step by Step Solution
There are 3 Steps involved in it
1 Expert Approved Answer
Step: 1 Unlock
Question Has Been Solved by an Expert!
Get step-by-step solutions from verified subject matter experts
Step: 2 Unlock
Step: 3 Unlock
