Question: Explain in details Problem set 1 When does it pay to use two technologies at the same time? Assume that output can be produced using
Explain in details



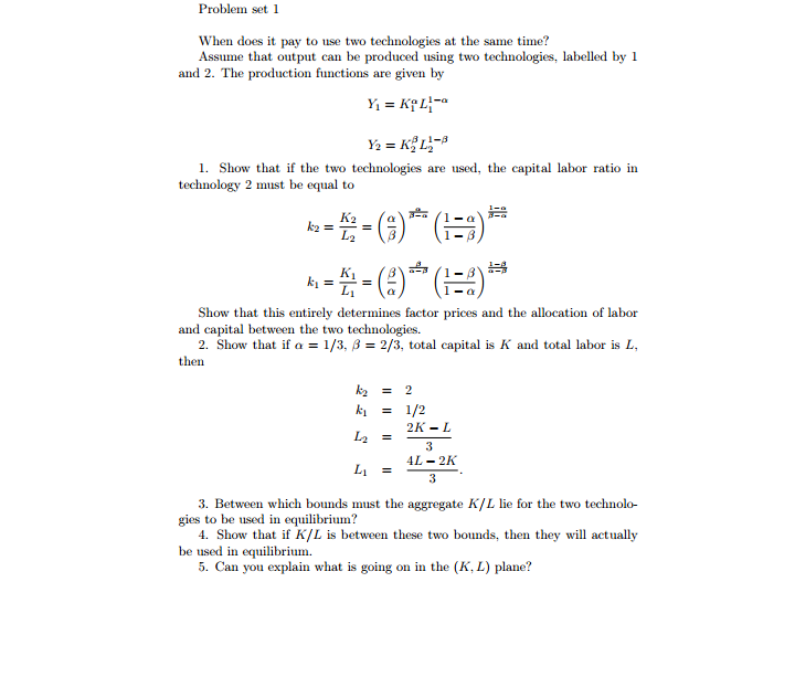
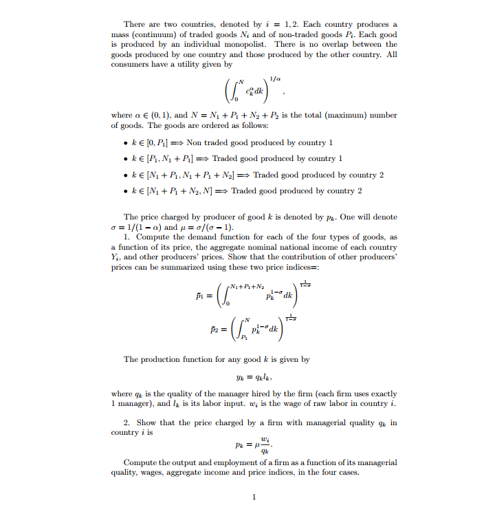
Problem set 1 When does it pay to use two technologies at the same time? Assume that output can be produced using two technologies, labelled by 1 and 2. The production functions are given by Y1 = KPL) - 1. Show that if the two technologies are used, the capital labor ratio in technology 2 must be equal to K2 k2 = 2 = K1 KI = LI = Show that this entirely determines factor prices and the allocation of labor and capital between the two technologies. 2. Show that if o = 1/3. # = 2/3, total capital is K and total labor is L. then = 2 k = 1/2 2K - L 3 41 - 2K 3 3. Between which bounds must the aggregate K/L lie for the two technolo gies to be used in equilibrium? 4. Show that if K/L is between these two bounds, then they will actually be used in equilibrium. 5. Can you explain what is going on in the (K, L) plane?There are two countries, denoted by i = 1,2. Each country produces a mass (continuum) of traded goods N and of non-traded goods Pi. Each good s produced by an individual monopolist. There is no overlap between the goods produced by one country and those produced by the other country. All consumers have a utility given by where a E (0, 1), and N = N + Pi + N2 + P2 is the total (maximum) number of goods. The goods are ordered as follows: . ke [0, Pi] = Non traded good produced by country 1 . ke [P, M + P] = Traded good produced by country 1 . ke [N + P. M+ P + Ny] = Traded good produced by country 2 . ke [N + Pi + N2, N] = Traded good produced by country 2 The price charged by producer of good & is denoted by pa. One will denote 0 = 1/(1 - a) and #=0/(0 - 1). 1. Compute the demand function for each of the four types of goods, as a function of its price, the aggregate nominal national income of each country Y, and other producers' prices. Show that the contribution of other producers' prices can be summarized using these two price indices=: PI = The production function for any good k is given by y& = 9KK , where qu is the quality of the manager hired by the firm (each firm uses exactly 1 manager), and & is its labor input. w; is the wage of raw labor in country i. 2. Show that the price charged by a firm with managerial quality 9% in country i is PK = 1- Compute the output and employment of a firm as a function of its managerial quality, wages, aggregate income and price indices, in the four cases.Problem Set 2 (due April 23] Problem 1 [Human Capital and Incomplete Markets} We introduce human capital in the model of Angeletos and Calvet {2002} that we discussed in class. Households can now invest in two types of capital: Physical capital, denoted by I: at the individual level and K at the aggregate; and human capital. denoted by h at the individual level and H at. the aggregate. For simplitv1 we assume that the are no nancial assets other than the riskless bond; that there is no einogenous endowment; and that preferences have expected-utility representation. There are a continuum of households. The typical household faces the following problem: maxEZ'Uqu} {ll r=u 51- Er+r+1+kr+1+hr+r = we [ll a. = Lt3+3h3+r {3: where I." denotes investment in physical capital, h denotes investment. in human capital, 9 denotes investment. in the riskless bond. A denotes the productivity of physical capital. 3 denotes the productivity of human capital1 and R denotes the {constant} riskless rate. The utilityr i3 {ital-Firth1 1 Ufa] = 1_, exp[Fc}. The productivity shocks A and ft are jointly nonnally distributed and i.i.d. across time and agents, and ' _ A N A Eli {TAB s s = m a; 1. Solve the consumers problem. How does investment in physical and human capital depend on the variance and covariance of the shocks? 2. In the special case that JAB = 0 and a: = \"F = 1j2, solve explicitly for the optimal in and h. as functions of R and arm :3. 3. Assume 0,13 = 0. DOE the Optiinal It: depends on 03'? \"thy. or why not? 4. Assume 0313 = 0, on; = I1}, on > 0. What is the e'ect of a higher 0'3 on the optimal I: and it, given R? Consider next the general equilibrium1 where we endogeuize R through the Euler condition and let X = k,H = It. Discuss what is the general equilibrium effect of {73 on steady-state K, H, and R. {For this question, intuition is enough, no maths are necessary.) 5. Assume again JAB = 0,9,; = (J. on > Ill, but now let the cash on hand every period be: m. = Hare}! + Bag + Rs (4) where H; denotes the aggregate human capital stock. Interpret this new set-up. Characterize the optimal k and h as functions ofo-B, R, and H. How does :73 aect the choice of la and h, given R and H? Consider near-t the general equilibrium, where we e-ndogenize R through the Eule: condition and let K = k, H = h in equilibrium. Discuss what is the general equilibrium effect of a higher 0'3 on H and K. {For this question1 intuition is enough, no maths are necessariry.) E. In the light of the above results, what is likely to be the effect oct'higher labor-income risks on physical-capital accumulation in the presence of human-capital externalities
Step by Step Solution
There are 3 Steps involved in it
Get step-by-step solutions from verified subject matter experts
