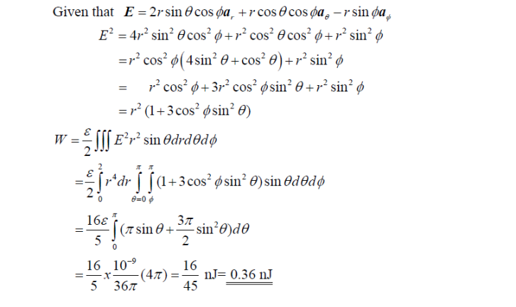
Question: explain the following solution step by step please: Given that E = 2rsin Ocos da, + rcosecosda, -r sin da E' = 473 sin? Ocos'd+72
explain the following solution step by step please:


Given that E = 2rsin Ocos da, + rcosecosda, -r sin da E' = 473 sin? Ocos'd+72 cos? @cos' d+r sing =13 cos? (4sin? 0 + cos? @) +r sin' $ = r' cos' + 373 cos osin' 0+r sin d =r? (1+3cos' psin* 0) W = Ear sin Odrdedo - N m r dr [(1+3cos psin? @) sin ededd 0 8=0 0 168 = (z sin e+ - sin'Ode 5 0 2 16 10-9 16 = X (4:T) = nJ= 0.36 nJ 5 367 45Question 3 (10 points) Find the energy stored in the hemispherical region r s 2 m, 0
Step by Step Solution
There are 3 Steps involved in it
Get step-by-step solutions from verified subject matter experts
