Question: Explain where the formulas come from and why we use those formulas fornthis problem, it is confusing. Thsnk you. Can you please explain the steps
Explain where the formulas come from and why we use those formulas fornthis problem, it is confusing. Thsnk you.
Can you please explain the steps i am confused and do not understand the problem. Thank you.
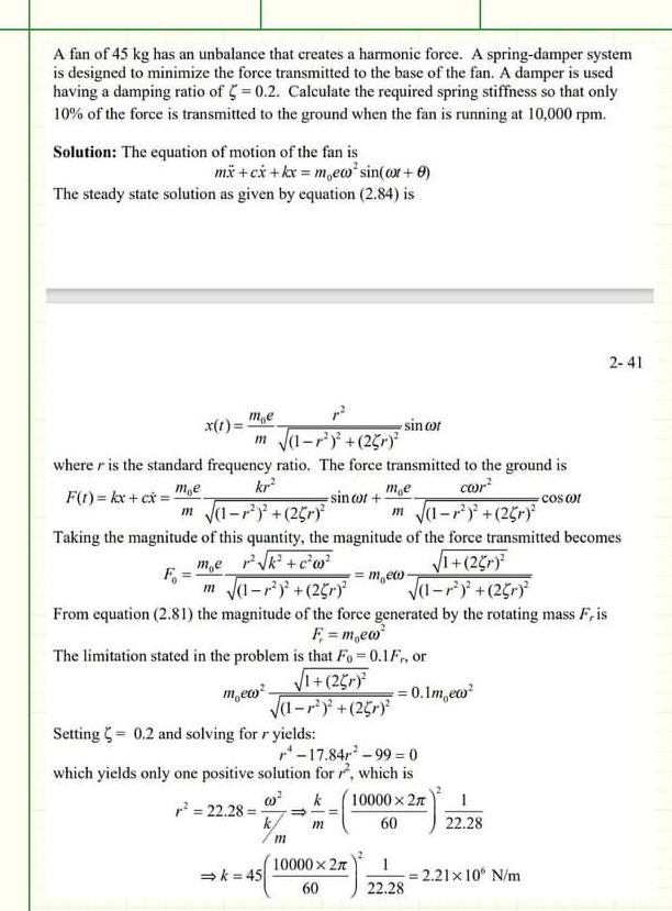
A fan of kg has an unbalance that creates a harmonic force. A springdamper system
is designed to minimize the force transmitted to the base of the fan. A damper is used
having a damping ratio of Calculate the required spring stiffness so that only
of the force is transmitted to the ground when the fan is running at
Solution: The equation of motion of the fan is
The steady state solution as given by equation is
where is the standard frequency ratio. The force transmitted to the ground is
Taking the magnitude of this quantity, the magnitude of the force transmitted becomes
From equation the magnitude of the force generated by the rotating mass is
The limitation stated in the problem is that or
Setting and solving for yields:
which yields only one positive solution for which is
Step by Step Solution
There are 3 Steps involved in it
1 Expert Approved Answer
Step: 1 Unlock
Question Has Been Solved by an Expert!
Get step-by-step solutions from verified subject matter experts
Step: 2 Unlock
Step: 3 Unlock
