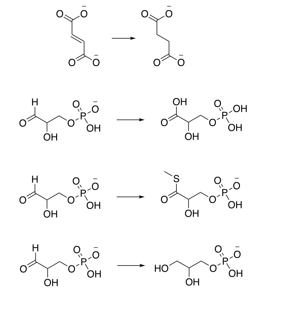
Question: Explain whether these conversions are redox reactions or not. Give each oxidation number and show work whether they are reduction or oxidation reactions.
Explain whether these conversions are redox reactions or not. Give each oxidation number and show work whether they are reduction or oxidation reactions.
Step by Step Solution
There are 3 Steps involved in it
1 Expert Approved Answer
Step: 1 Unlock
Question Has Been Solved by an Expert!
Get step-by-step solutions from verified subject matter experts
Step: 2 Unlock
Step: 3 Unlock
