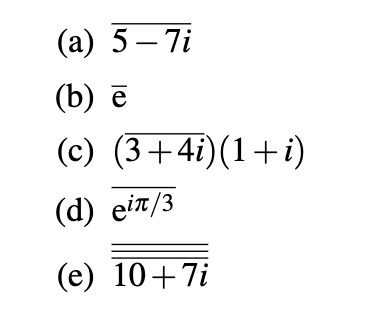
Question: express the following complex numbers in rectangular form f(a) 5 -7i (b) e (c) (3 + 4i) (1 + i) (d) ein/3 (e) 10 +
express the following complex numbers in rectangular form


Step by Step Solution
There are 3 Steps involved in it
1 Expert Approved Answer
Step: 1 Unlock
Question Has Been Solved by an Expert!
Get step-by-step solutions from verified subject matter experts
Step: 2 Unlock
Step: 3 Unlock
