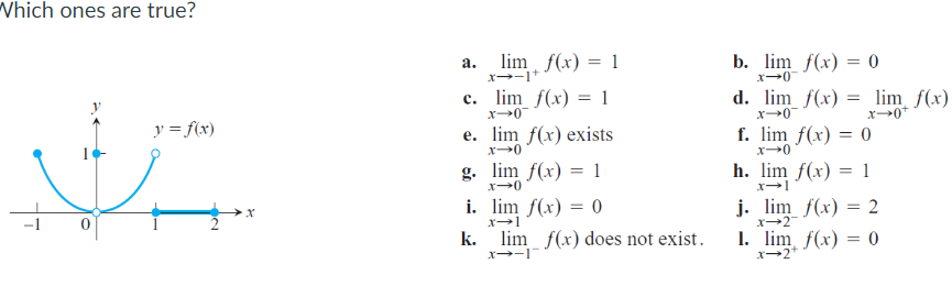
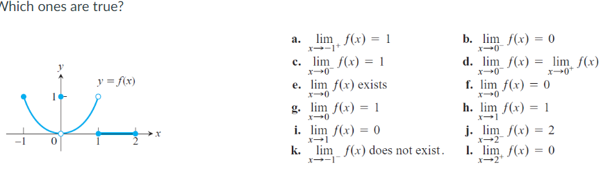
Question: Vhich ones are true? lim f(x) a. lim '(x) I c. lim f(x) exists e. lim f(x) g. i. lim f(x) = 0 lim


Vhich ones are true? lim f(x) a. lim '(x) I c. lim f(x) exists e. lim f(x) g. i. lim f(x) = 0 lim f(x) does not exist. k. b. d. f. h. lim f(x) lim f(x) lim f(x) 0 lim f(x) I j. lim f(x) 2 l. lim. f(x) lim f(x) 2
Step by Step Solution
There are 3 Steps involved in it
Get step-by-step solutions from verified subject matter experts
