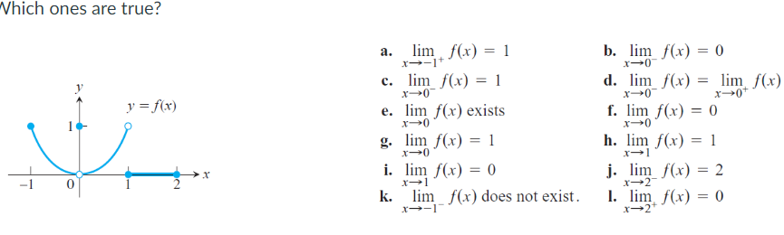
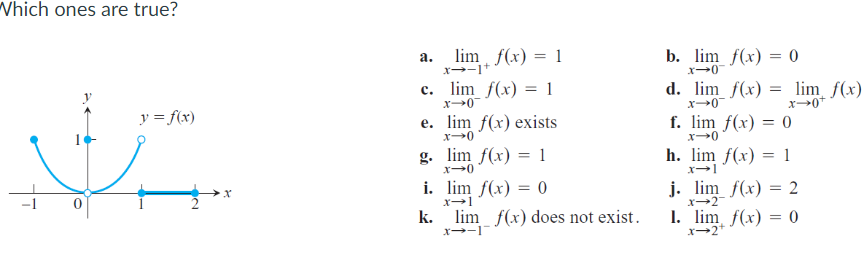
Question: Vhich ones are true? lim f(x) a. lim '(x) I c. lim f(x) exists e. lim f(x) g. i. lim f(x) = 0 lim

Vhich ones are true? lim f(x) a. lim '(x) I c. lim

f(x) exists e. lim f(x) g. i. lim f(x) = 0 lim

Vhich ones are true? lim f(x) a. lim '(x) I c. lim f(x) exists e. lim f(x) g. i. lim f(x) = 0 lim f(x) does not exist. k. b. d. f. h. lim f(x) lim f(x) lim f(x) 0 lim f(x) I j. lim f(x) 2 l. lim. f(x) lim f(x) 2

Step by Step Solution

There are 3 Steps involved in it

1 Expert Approved Answer
Step: 1 Unlock blur-text-image
Question Has Been Solved by an Expert!

Get step-by-step solutions from verified subject matter experts

Step: 2 Unlock
Step: 3 Unlock

Students Have Also Explored These Related Mathematics Questions!