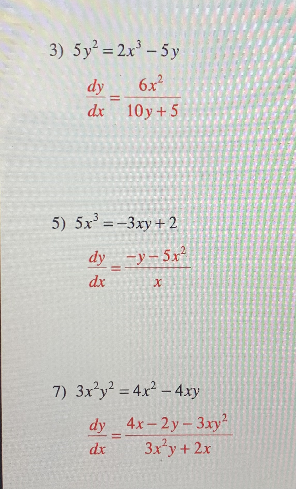
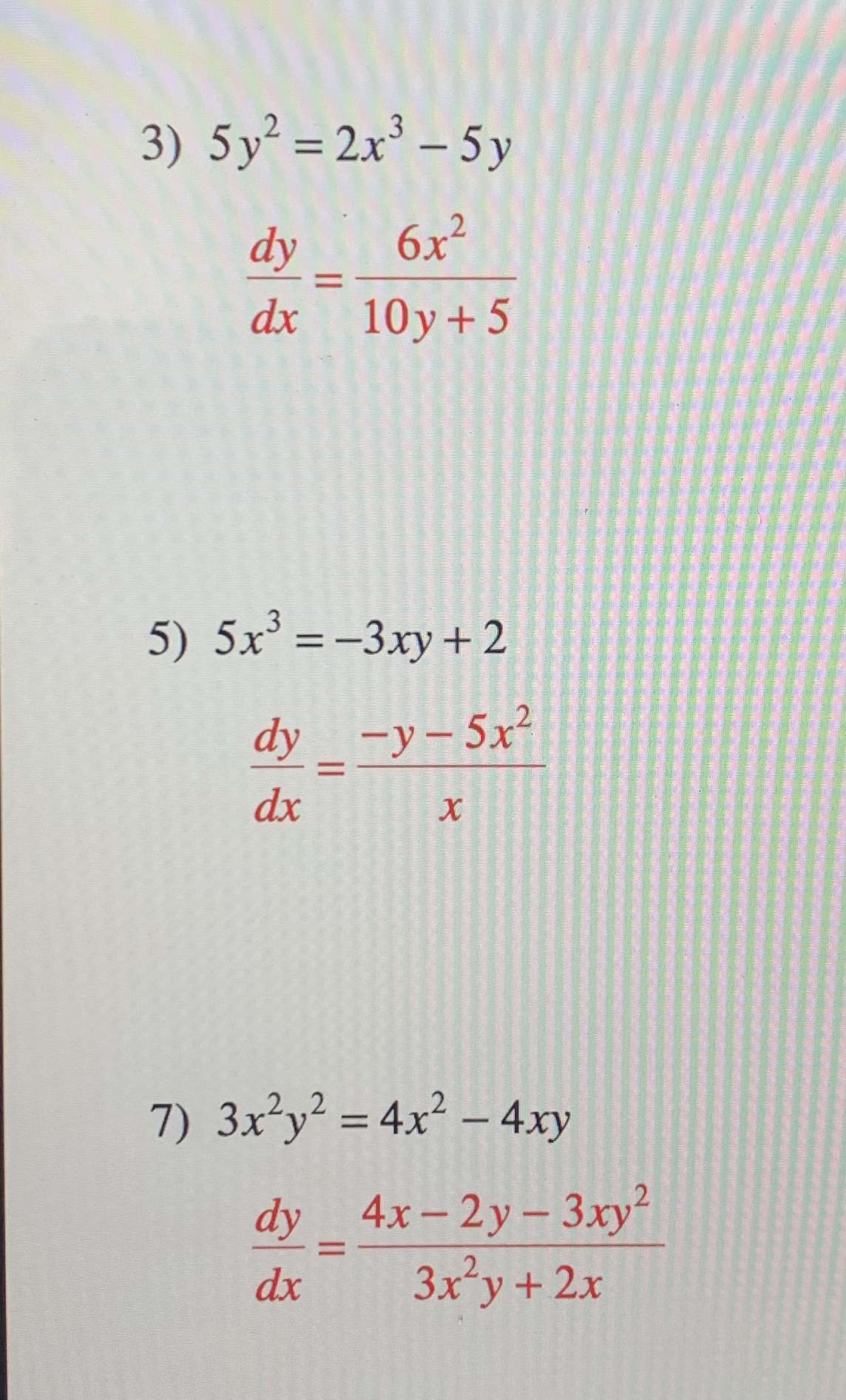
Question: 3) 5 y 2 = 2x3 5 y 2 6x dy 10 y + 5 3 = 3xy + 2 -Y - 5x2 dy


3) 5 y 2 = 2x3 5 y 2 6x dy 10 y + 5 3 = 3xy + 2 -Y - 5x2 dy dx x 7) 3x2y2 2 4x 2 y 3xy dy 3x2y + 2x dx
Step by Step Solution
There are 3 Steps involved in it
Get step-by-step solutions from verified subject matter experts
