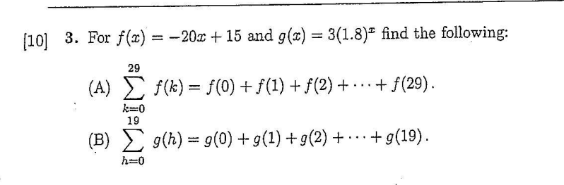
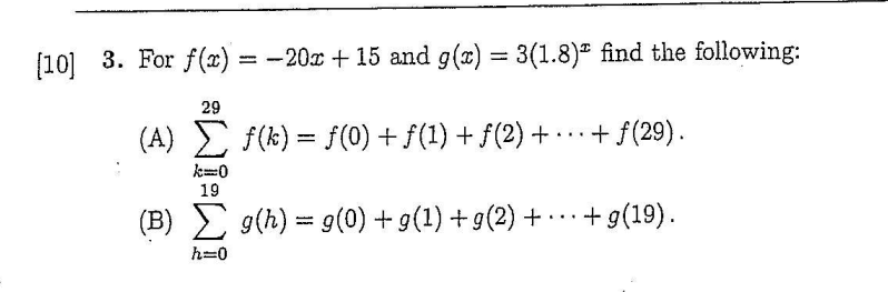
Question: 20t + 15 and g(c) = find the following: [10] 3. For f(c) 29 (A) f(k) = f (O) + f(l) + f(2) +
![20t + 15 and g(c) = find the following: [10] 3. For](https://s3.amazonaws.com/si.experts.images/answers/2024/06/66649e75d4fed_19766649e75beecb.jpg)

20t + 15 and g(c) = find the following: [10] 3. For f(c) 29 (A) f(k) = f (O) + f(l) + f(2) + + f(29) . 19 (B) g(h) = g(0) + g(l) +g(2) + ...+ g(19).
Step by Step Solution
There are 3 Steps involved in it
Get step-by-step solutions from verified subject matter experts
