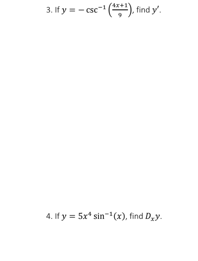
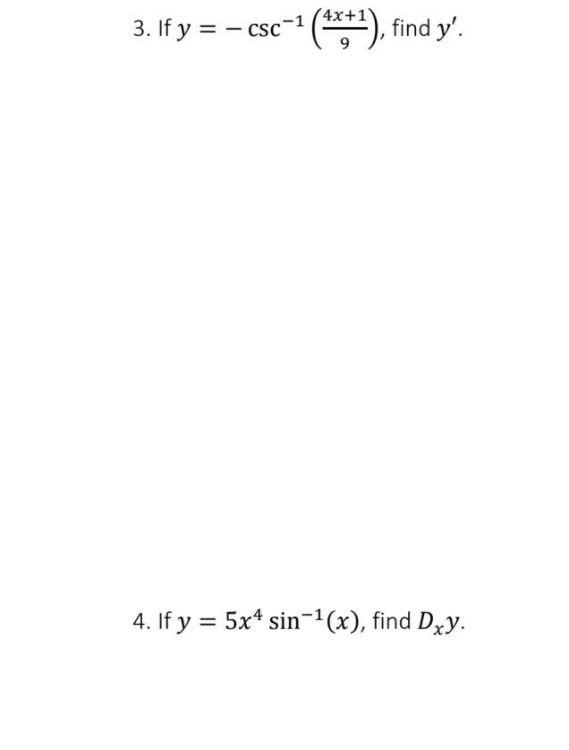
Question: 1 find y'. 3. If y = csc- 4 -I(x), find Dxy 4. If y = 5x sm


1 find y'. 3. If y = csc- 4 -I(x), find Dxy 4. If y = 5x sm
Step by Step Solution
There are 3 Steps involved in it
Get step-by-step solutions from verified subject matter experts
