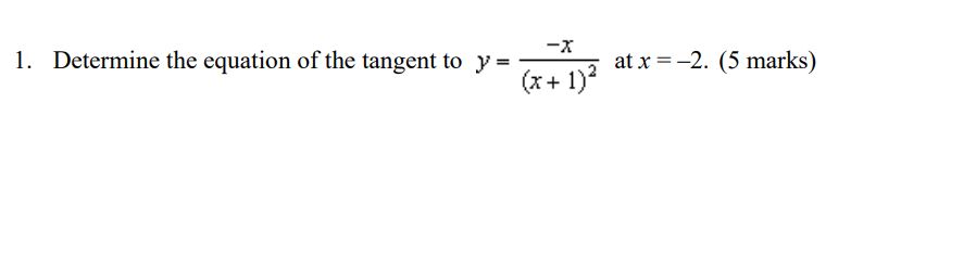
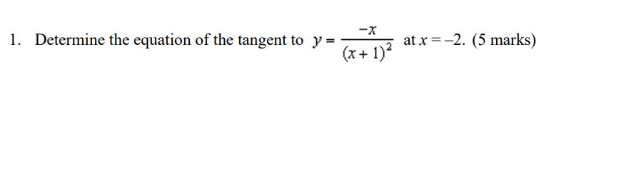
Question: l. at x = x Determine the equation of the tangent to y = 2. (5 marks)


l. at x = x Determine the equation of the tangent to y = 2. (5 marks)
Step by Step Solution
There are 3 Steps involved in it
Get step-by-step solutions from verified subject matter experts
