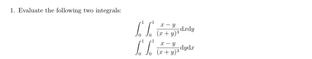
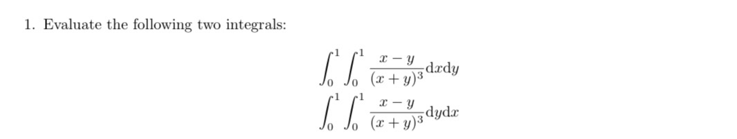
Question: I. Evaluate the following two integrals: d :rdy dyd:r


I. Evaluate the following two integrals: d :rdy dyd:r
Step by Step Solution
There are 3 Steps involved in it
Get step-by-step solutions from verified subject matter experts
