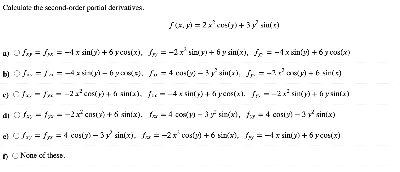
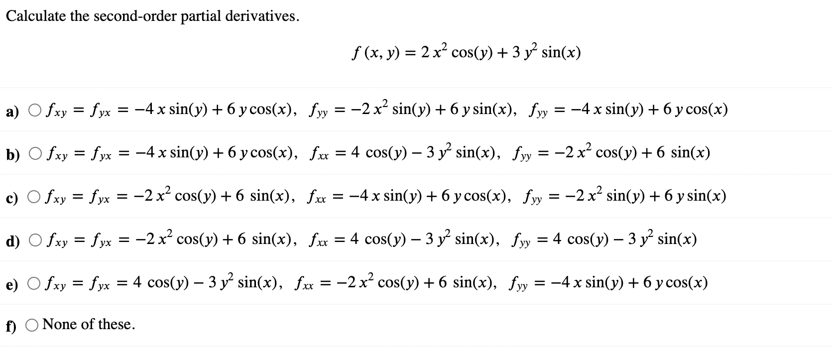
Question: Calculate the second-order partial derivatives. yx = 4 x sin(y) + 6 y cos(x), yx = 4 x sin(y) + 6 ycos(x), yx =


Calculate the second-order partial derivatives. yx = 4 x sin(y) + 6 y cos(x), yx = 4 x sin(y) + 6 ycos(x), yx = 2 x2 cos(y) + 6 sin(x), yx = 2 x2 cos(y) + 6 sin(x), f (x, y) = 2 x2 cos(y) + 3 Y2 sin(x) f 2 x2 sin(y) + 6 y sin(x), fyy = 4 cos(y) 3 sin(x), fyy f 4 x sin(y) + 6 y cos(x), fyy = 2 x2 sin(y) + 6 y sin(x) fyx = 4 cos(y) 3 sin(x), fxx fxx fxx = 4 cos(y) 3 sin(x), = 2 x2 cos(y) + 6 sin(x), 4 x sin(y) + 6 y cos(x) = 2 x2 cos(y) + 6 sin(x) fyy = 4 cos(y) 3 sin(x) f 4 x sin(y) + 6 y cos(x) f) None of these.
Step by Step Solution
There are 3 Steps involved in it
Get step-by-step solutions from verified subject matter experts
