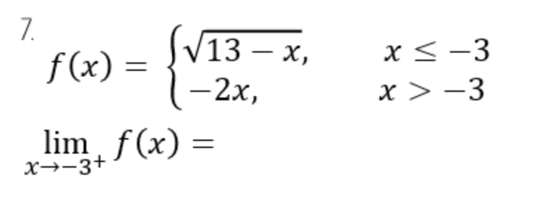
Question: 13 2x, lim f (x)


13 2x, lim f (x)
Step by Step Solution
There are 3 Steps involved in it
Get step-by-step solutions from verified subject matter experts


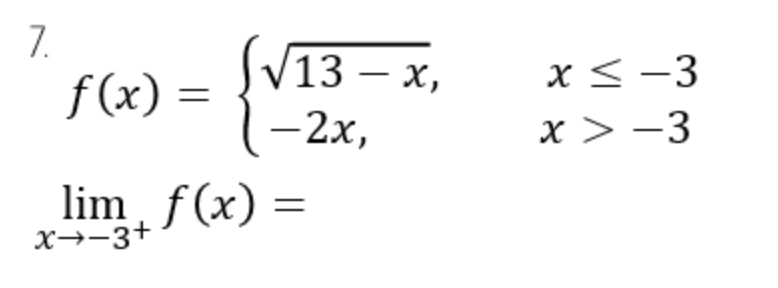
13 2x, lim f (x)
There are 3 Steps involved in it
Get step-by-step solutions from verified subject matter experts