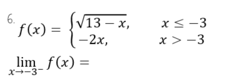
Question: 2x, lim f (x)


2x, lim f (x)
Step by Step Solution
There are 3 Steps involved in it
Get step-by-step solutions from verified subject matter experts


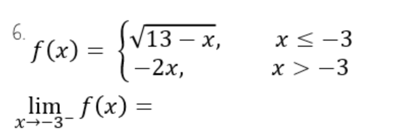
2x, lim f (x)
There are 3 Steps involved in it
Get step-by-step solutions from verified subject matter experts