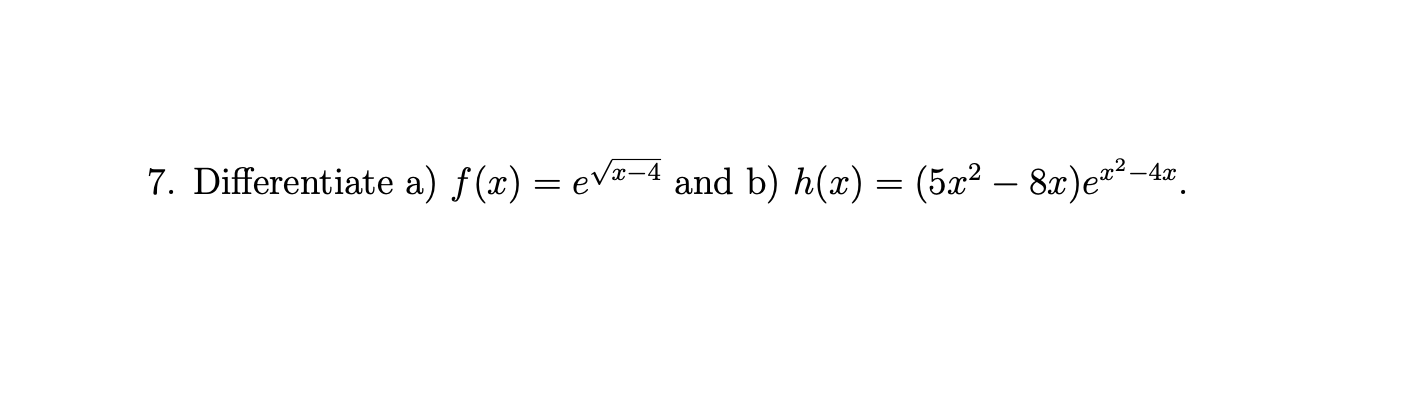
Question: 4 and b) h@) = (5T2 8T)e 7. Differentiate a) f@)


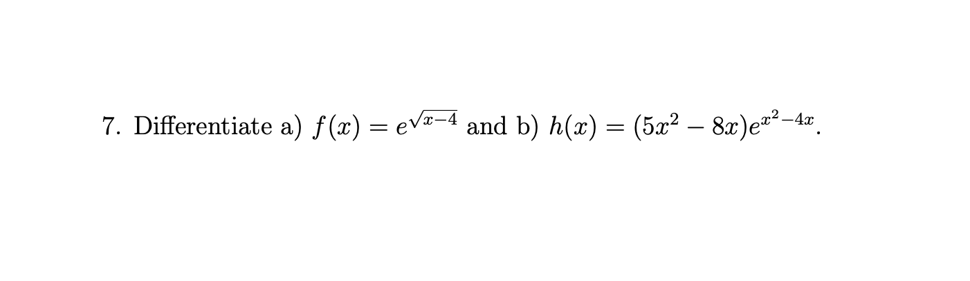
4 and b) h@) = (5T2 8T)e 7. Differentiate a) f@)
Step by Step Solution
There are 3 Steps involved in it
Get step-by-step solutions from verified subject matter experts
