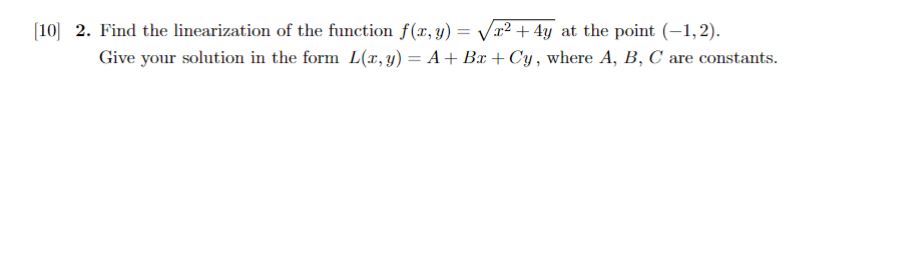
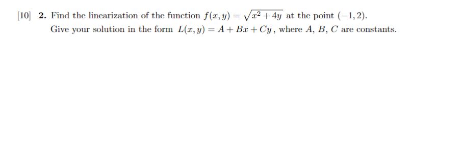
Question: [101 2. Find the linearization of the function f (x, y) = at the point (1, 2). Give your solution in the form y)


[101 2. Find the linearization of the function f (x, y) = at the point (1, 2). Give your solution in the form y) = A 4- 13:r + C!} , where A, B, C are constants.
Step by Step Solution
There are 3 Steps involved in it
Get step-by-step solutions from verified subject matter experts
