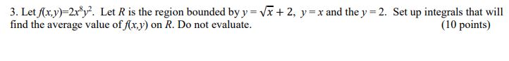
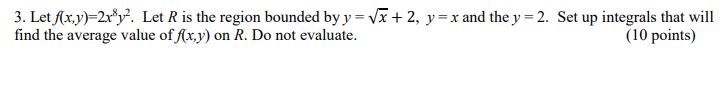
Question: 3. Let R is the region bounded by y + 2, y x and they 2. Set up integrals that will find the average


3. Let R is the region bounded by y + 2, y x and they 2. Set up integrals that will find the average value offlx,y) on R. Do not evaluate. (10 points)
Step by Step Solution
There are 3 Steps involved in it
Get step-by-step solutions from verified subject matter experts
