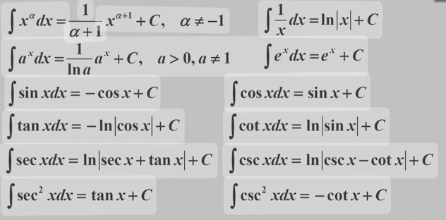
Question: xa+l + C, a ax +C, a > O, a $1 cosxdr = sin x + C J dv =lnlxl+C eXdx + C tan


xa+l + C, a ax +C, a > O, a $1 cosxdr = sin x + C J dv =lnlxl+C eXdx + C tan xdx secxdv sin xdx = cosx + C Inlcos + C In Isecx + tan xl + C sec2 xdx = tan x + C = In Isinxl+C cot xdx csc xdx = In cscxcot C csc2 xdx = cot x + C
Step by Step Solution
There are 3 Steps involved in it
Get step-by-step solutions from verified subject matter experts
