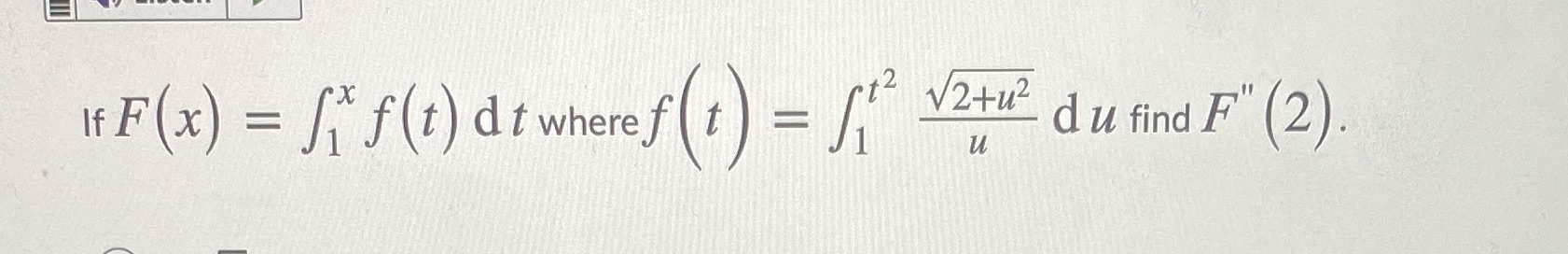
Question: f (t) dt wheref(t) 2+u2 du find F (2). u


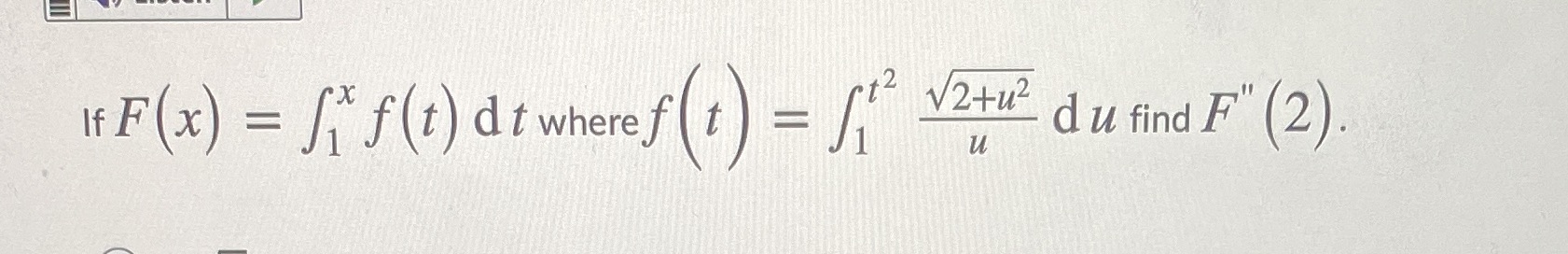
f (t) dt wheref(t) 2+u2 du find F" (2). u
Step by Step Solution
There are 3 Steps involved in it
Get step-by-step solutions from verified subject matter experts
