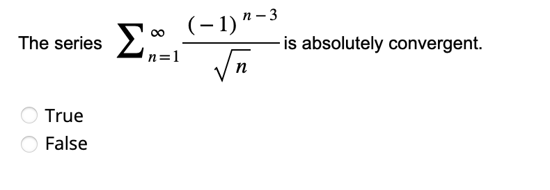
Question: The series True O False is absolutely convergent. n


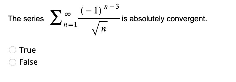
The series True O False is absolutely convergent. n
Step by Step Solution
There are 3 Steps involved in it
Get step-by-step solutions from verified subject matter experts
