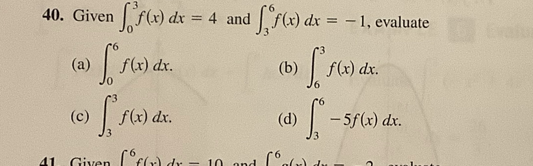
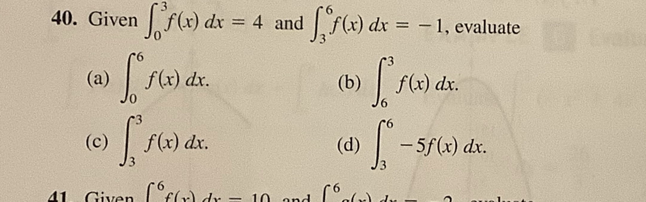
Question: 40. Given Jof(x) dr = 4 and J f (x) dx = 1, evaluate 6 (b) f (x) dx. (a) f (x) dx. 0


40. Given Jof(x) dr = 4 and J f (x) dx = 1, evaluate 6 (b) f (x) dx. (a) f (x) dx. 0 3 5f(x) dx. (c) f (x) clx. 3 6
Step by Step Solution
There are 3 Steps involved in it
Get step-by-step solutions from verified subject matter experts
