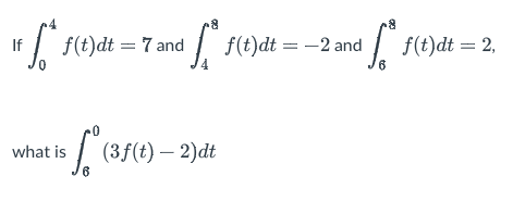
Question: f (t)dt f (t)dt 7 and (3f(t) 2)dt what is f (t)dt 2 and


f (t)dt f (t)dt 7 and (3f(t) 2)dt what is f (t)dt 2 and
Step by Step Solution
There are 3 Steps involved in it
Get step-by-step solutions from verified subject matter experts
