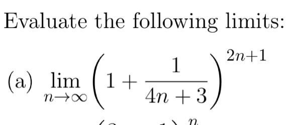
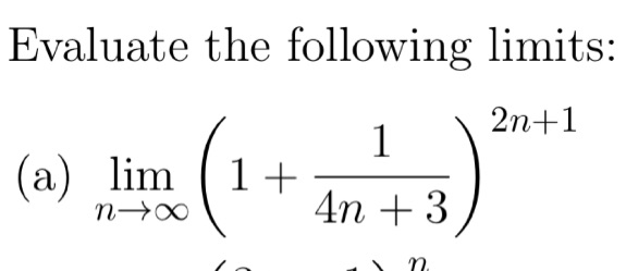
Question: Evaluate the following limits: 1 (a) lim 1 +


Evaluate the following limits: 1 (a) lim 1 +
Step by Step Solution
There are 3 Steps involved in it
Get step-by-step solutions from verified subject matter experts


Evaluate the following limits: 1 (a) lim 1 +
There are 3 Steps involved in it
Get step-by-step solutions from verified subject matter experts