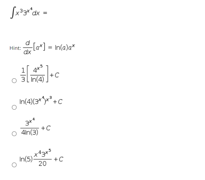
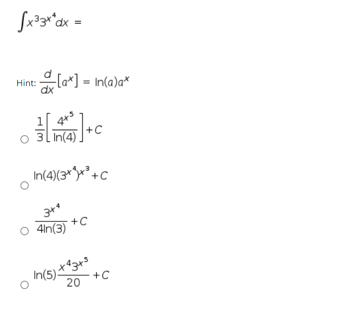
Question: .............. x33X dx = O S In(4) 0 41n(3) In(5) + c 20

..............

x33X dx = O S In(4) 0 41n(3) In(5) + c 20
Step by Step Solution
There are 3 Steps involved in it
Get step-by-step solutions from verified subject matter experts
