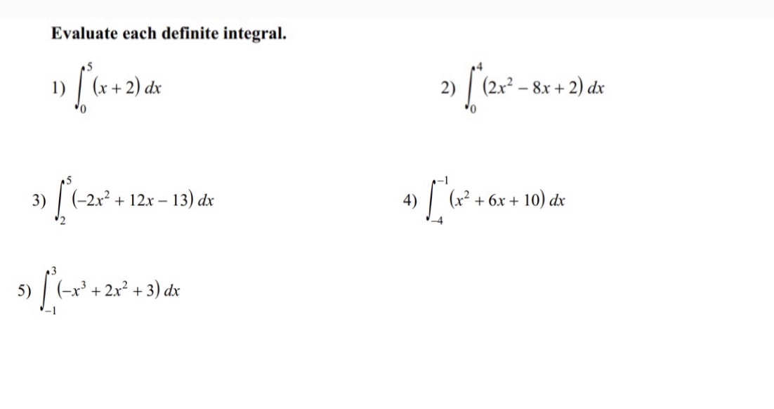
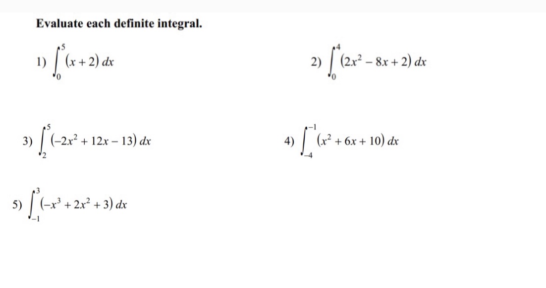
Question: Evaluate each definite integral. (x + 2) dx (-2x2 + nx - 13) dx + 2x2 + 3) (2x2 8x + 2) dx (x


Evaluate each definite integral. (x + 2) dx (-2x2 + nx - 13) dx + 2x2 + 3) (2x2 8x + 2) dx (x +6x+ 10) dr
Step by Step Solution
There are 3 Steps involved in it
Get step-by-step solutions from verified subject matter experts
