Question: MATLAB problem: Consider the inventory problem where the inventory, production, and demand only take integer values and the dynamics are modified to be :rt+l

MATLAB problem: Consider the inventory problem where the inventory, production, and demand
only take integer values and the dynamics are modified to be :rt+l

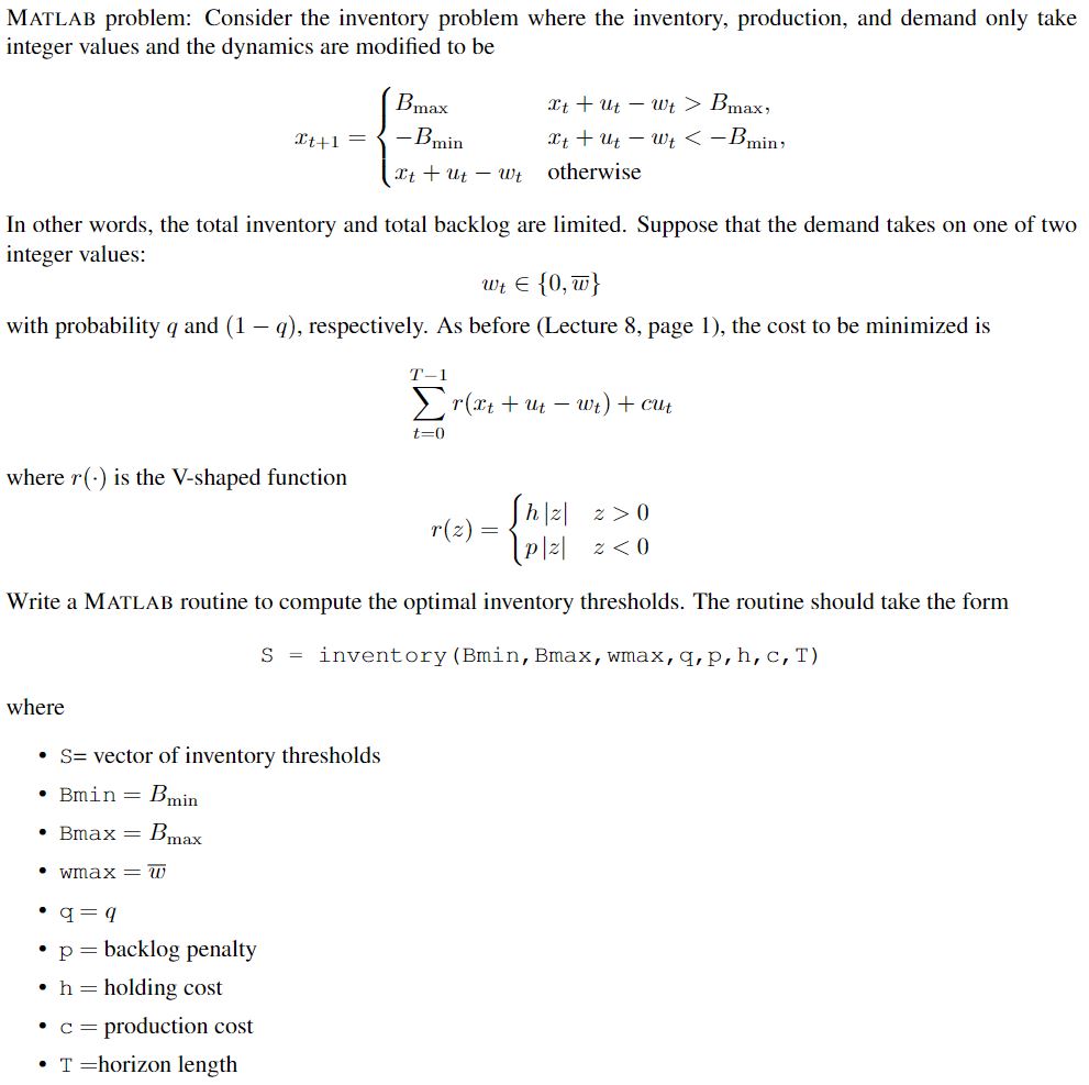
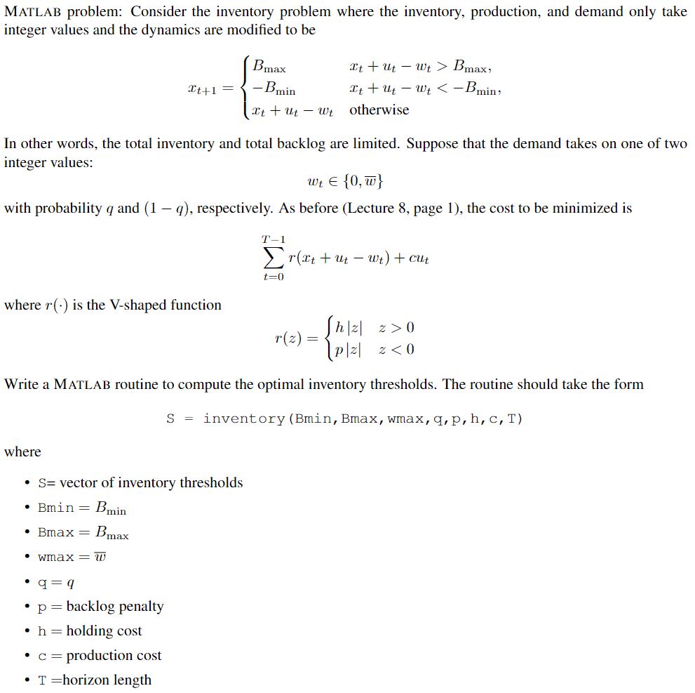
MATLAB problem: Consider the inventory problem where the inventory, production, and demand only take integer values and the dynamics are modified to be :rt+l = 13m m Wt > Bmax, min' + ut wt otherwise In other words, the total inventory and total backlog are limited. Suppose that the demand takes on one of two integer values: Wt e {O, with probability q and (1 q), respectively. As before (Lecture 8, page l), the cost to be minimized is + wt) + cut where r() is the V-shaped function h Izl z > O p Izl z < O Write a MATLAB routine to compute the optimal inventory thresholds. The routine should take the form inventory (Brnin, Bmax, wrnax, q, p, h, c, T) s where vector of inventory thresholds Bmax wmax 13m backlog penalty holding cost production cost T =horizon length

Step by Step Solution

There are 3 Steps involved in it

1 Expert Approved Answer
Step: 1 Unlock blur-text-image
Question Has Been Solved by an Expert!

Get step-by-step solutions from verified subject matter experts

Step: 2 Unlock
Step: 3 Unlock

Students Have Also Explored These Related Mathematics Questions!