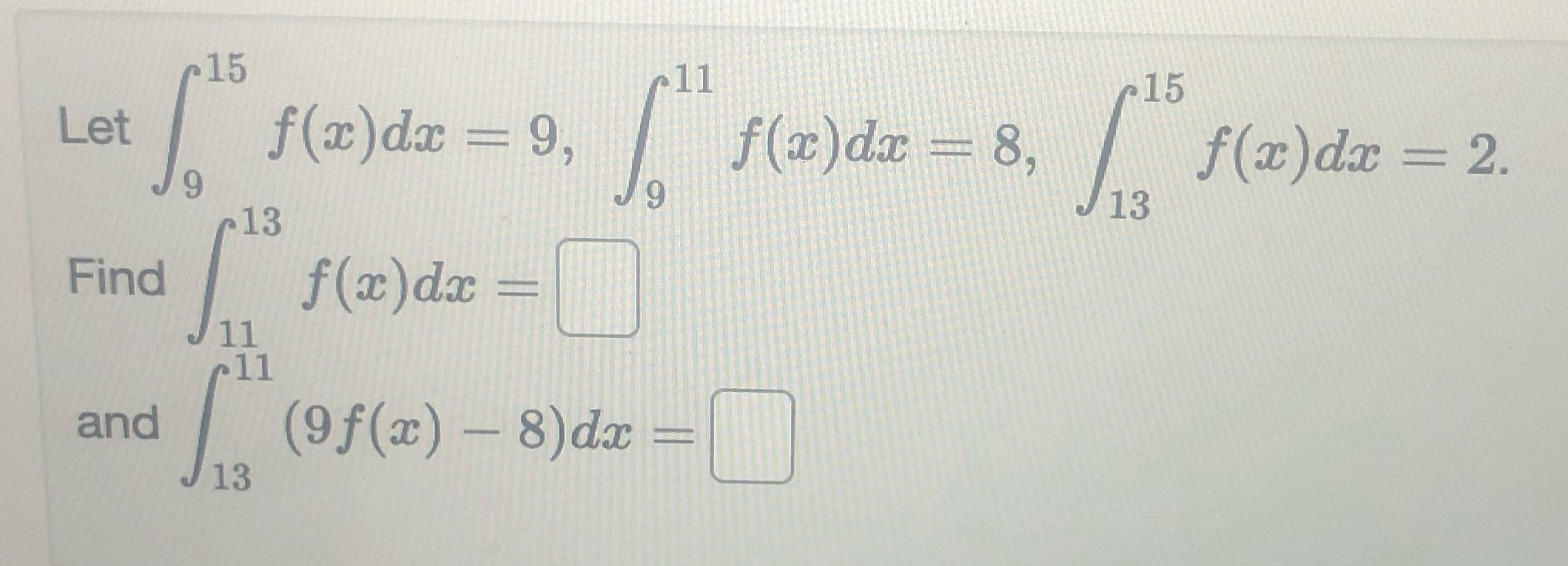
Question: 8, 13 f(c)dc Find 11 11 (9f(c) and 13 11 9, 8)dc 15 13 2.

8, 13 f(c)dc Find 11 11 (9f(c) and 13 11 9, 8)dc 15 13 2.
Step by Step Solution
There are 3 Steps involved in it
Get step-by-step solutions from verified subject matter experts
