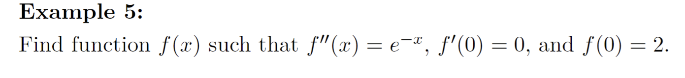
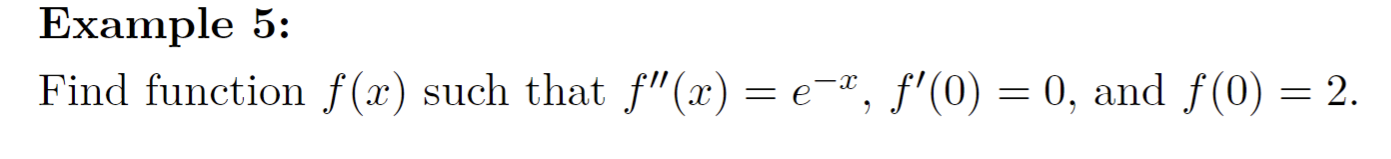
Question: Example 5: Find function f (x) such that f'/ (x) f'(o) = 0, and f (0) 2.


Example 5: Find function f (x) such that f'/ (x) f'(o) = 0, and f (0) 2.
Step by Step Solution
There are 3 Steps involved in it
Get step-by-step solutions from verified subject matter experts
