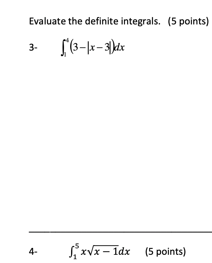
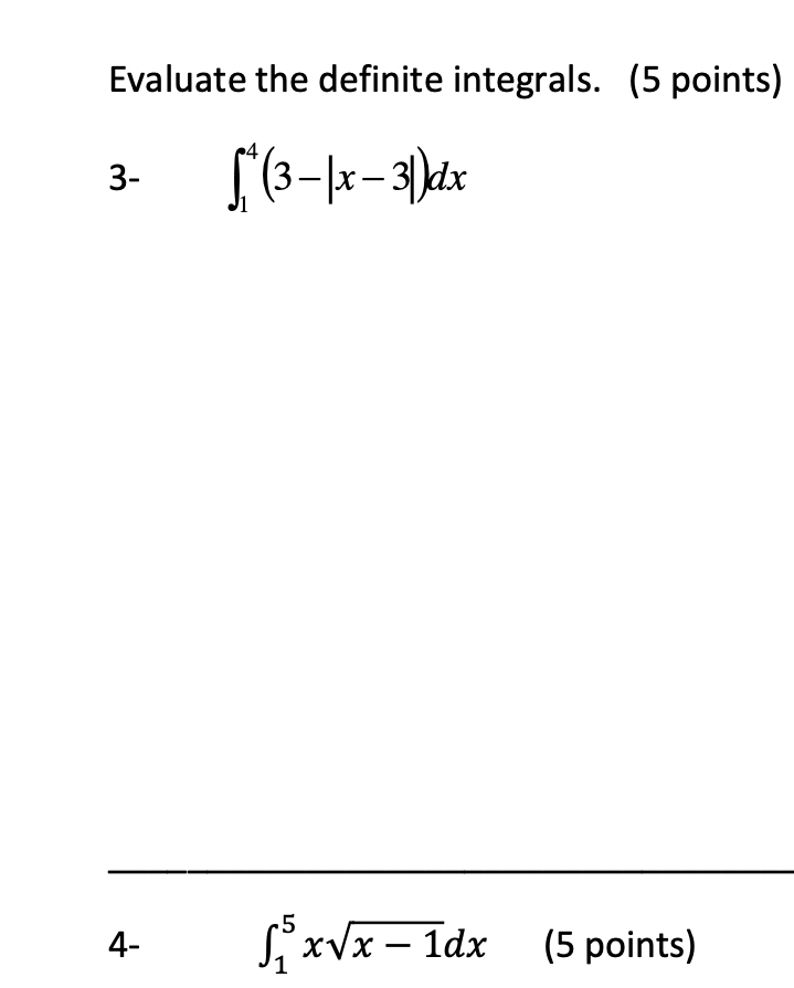
Question: Evaluate the definite integrals. (5 points) 3- 4- r (3 31>1x (5 points)


Evaluate the definite integrals. (5 points) 3- 4- r (3 31>1x (5 points)
Step by Step Solution
There are 3 Steps involved in it
Get step-by-step solutions from verified subject matter experts
