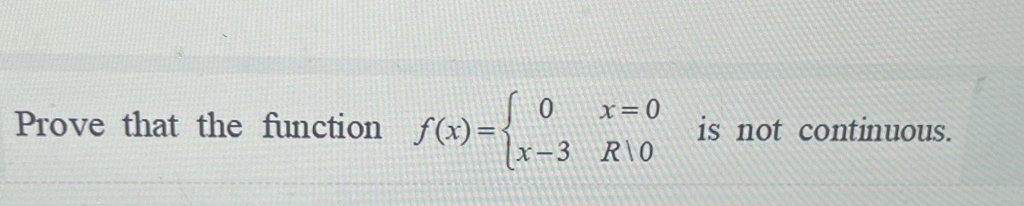
Question: Prove that the ftnction is not continuous. x3 R 0

Prove that the ftnction is not continuous. x3 R \ 0
Step by Step Solution
There are 3 Steps involved in it
Get step-by-step solutions from verified subject matter experts
